- Makina elemanları çoğunlukla dinamik yükler altında çalışırlar. Bu yüzden gerilmelerin büyüklükleri zamanla değişir.
- Dönen millerde kuvvet sabit olsa bile değişken gerilmeler meydana gelir.
- Bu tür yüklere maruz kalan makina elemanları akma dayanımlarının çok altındaki gerilmelerde dahi zaman içinde hasara uğrarlar.
- Değişken zorlanmalar altında makina elemanlarında meydana gelen bu hasar “yorulma” olarak adlandırılır.
- Makina elemanlarında yer alan çeşitli süreksizlikler (kama yuvası, fatura, vida dişi, pim deliği, segman yuvası vb. gibi) yorulma hasarını hızlandırıcı etki yaparlar.
- Normalde tek sefer uygulandığında herhangi bir hasar meydana getirmeyen ancak tekrarlı şekilde uygulandığında çatlak veya kırılma şeklinde hasarın meydana gelmesi durumudur.
- Yorulmada hasar malzeme içinde olan ya da oluşan mikro çatlakların ilerleyerek büyümesi sonucunda ortaya çıkar.
- Yorulma ömrü belirlenirken sisteme etki eden yüklerin tekrar sayısı N olmak üzere, eğer 1<N<10^3ise düşük çevrimli yorulma , N>10^3 ise yüksek çevrimli yorulma olarak adlandırılırlar.
- Yorulma ömrünün belirlenmesine üç ana yaklaşım vardır. Bu üç yaklaşım Gerilme-Ömür(S-N), Gerinim-Ömür(ε– N) ve Kırılma Mekaniği yaklaşımlarıdır.
- Aşağıda Yorulmaya etki eden faktörler maddeler halinde gösterilmiştir.
1.Gerilme-Ömür Yaklaşımı(S-N)
- Genel kesit veya lokal elastik gerilmeyi toplam ömürle ilişkilendirir
- Bu yaklaşım malzemenin elastik sınırlar içinde kalacak şekilde yüklemelere maruz kaldığı, plastik gerinimin olmadığı durumlar için daha doğru sonuç veren bir yaklaşımdır. Bu da yüksek tekrarlı yorulma durumları için iyi sonuç vermesi anlamına gelmektedir.

Şekil 2: Tam Değişken Yüke Zorlanan Bir Yapıdaki Gerilmenin Zamanla Değişimi
Gerçek Hayatta yapısal parçalar çoğu zaman ortalama gerilmelerin sıfır olmadığı çevrimsel yükler ile çalışırlar. Bu durumda iki farklı parametre ortaya çıkar. Bunlar gerilme oranı R, ve genlik oranı A, olmak üzere,
Bir yapının gerilme ömür analizlerini gerçekleştirmek için çok fazla numune farklı tam değişken yükleme genlikleri ile test edilerek gerilme genliği–çevrim (S-N) diyagramları çıkarılır.
Bu testlerden elde edilen veriler logaritmik veya yarı logaritmik skala ile bir grafiğe dökülür. Şekil 3’de bir çeliğe ait S-N diyagramı yarı logaritmik skalada gösterilmektedir.
Şekil 3: Bir Çeliğin Gerilme-Ömür Eğrisi
- Grafik üzerindeki noktalar farklı test numuneleri için farklı gerilme genlikleri altında gerçekleştirilmiş test sonuçlarını göstermektedir. Bu noktaların birleştirilmesi ile birlikte de S-N yani gerilme ömür eğrileri oluşturulmaktadır.
- S-N Eğrileri,
Aşağıda da genel itibariyle Gerinim-Ömür yaklaşımı hakkında bir özet bulunmaktadır.
2.Gerinim -Ömür Yaklaşım(ε– N)
- Lokal strain değerini çatlak başlangıcı ile ilişkilendirir
- Gerinim ömür yaklaşımı malzemelerin sadece elastik gerinime uğradığı durumlarda değil malzemenin plastik gerinime uğradığı tekrarlı yükleme durumlarında ömür hesabı yapmak için kullanılır.
- Plastik gerinime maruz kalan malzemelerde ömür hesabı yapabilmek için bu gerinimi elastik ve plastik gerinim olarak sınıflandırmak ve bunları ayrı değerlendirmek gerekir.
Şekil 4:Elastik Bir Malzemeye Ait Gerilme-Gerinme Eğrisi
Bu ifade logaritmik eksende ifade edilirse,
Şekil 5:Gerinim-Ömür Eğrisi
Burada elastik ve plastik gerinim ayrı ifade edilmekte ve bu eğrilerin toplamı ayrı bir eğri olarak yani gerinme- ömür eğrisi olarak ifade edilmektedir.
3.Çatlak İlerlemesi Yaklaşımı (Crack Propagation)
- Çatlağın ilerlemesini gerilme yoğunluğu ile değerlendirir
- Bütün malzemeler mikroskobik boyutlarda olsa bile çatlak içerirler. Zaman ile belirli yüklemeler altında bu çatlaklar ilerleyerek birleşir ve büyürler.
- Bu büyümenin boyutu ihmal edilebilecek boyutlardan çıktığı anda tasarım açısından sorunlar başlar.
- Kırılma mekaniği temel olarak çatlağın ilerleyip ilerlemeyeceğini, kritik çatlak boyunu, çatlak ilerlemesi için gereken minimum enerji miktarını, kritik çatlak uzunluğuna ulaşma süresini, çatlağın ilerleme hızını inceler.
3.1Titreşim Kaynaklı Yorulma ve Analizi
- Bir yapıya genellikle statik yüklerin yanında dinamik yükler de etki eder. Eğer yapıya etki eden dinamik yükler var ise burada yapı dinamiğini hesaba katmak gerekir.
Dinamik analiz
- Dinamik bir sistemde temel olarak dört eleman vardır. Bunlar kütle, yay, sönüm elemanı, ve sisteme verilen dış etkidir. Şekil 2.5’de birinci dereceden serbestliğe sabit dinamik bir sistem görülmektedir.
Şekil 6:Birinci Derece Serbestliğe Sahip Dinamik Sistem
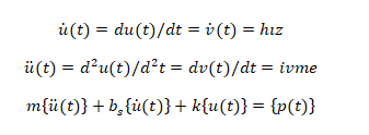
Kütle, yay ve sönüm elemanından oluşan bir sisteme verilen dış etki ile birlikte sistemde zamana bağlı olarak bir hareket oluşur. Bu hareket u(t) olarak ifade edilir. Bu hareketin birinci türevi sistemin zamana bağlı hızını, ikinci türevi ise sistemin zamana bağlı ivmesini verir.
Hareket denkleminin sol tarafını iç kuvvetler sağ tarafını da dış kuvvetler olarak sınıflandırılabilir.
İç etkiler de kendi içerisinde ivme ve kütlenin çarpımı olan atalet kuvveti, sönüm katsayısı ve hızın çarpımı olan sönümleme kuvveti, yer değiştirmenin yay katsayısı ile çarpımı olan yay kuvveti olarak üçe ayrılır.
İç kuvvetleri toplamı ise sisteme dışarıdan etkiyen kuvvetlerin toplamına eşittir.
Dinamik analiz, sistemdeki dış kuvvetlerin var olup olmamasına göre serbest ve zorlanmış titreşim olmak üzere ikiye ayrılır.
3.1.1 Serbest Titreşim Analizi
- Sistemlerin dinamik karakterlerini belirlemek için hareket denkleminin sağ tarafı sıfıra eşitlenir, buna sönümlü serbest titreşim analizi denir ve denklem (2.15) ile ifade edilir.
Sönüm elemanı olmayan serbest titreşim çözümünün zamana bağlı grafiği şekil 7 de gösterilmiştir.
Şekil 7:Serbest Titreşim Analizinde Yer Değiştirmenin Zamanla Değişimi
Serbest titreşim analizine sönüm elemanı eklenirse hareket denklemi
Halini alır
- Sönümün olduğu sistemlerde sönüm katsayısı için üç farklı durum oluşabilir. Bunlar kritik üstü, kritik ve kritik altı sönüm katsayılarıdır.
- Kritik sönüm durumu, sönüm katsayısının kritik sönüm katsayısına eşit olduğu durumu ifade eder.
- Kritik sönüm sistemin titreşime maruz kalmaksızın başlangıç konumuna gelmesini sağlayan sönümleme durumudur.
- Kritik altı sönüm, sistemlerde en fazla rastlanan ve titreşim kaynaklı oluşan problemleri çözmek için incelenmesi gereken durumdur. Burada hareket denklemi en genel hali ile denklem şeklinde ifade edilir.
- Birçok yapının sönüm oranı yüzde bir ile beş oranında olmaktadır. Kritik altı sönüme sahip bir sistemin zamana bağlı cevabı Şekil 8’de gösterilmiştir.
Şekil 8:Kritik altı Sönümlü Serbest Titreşim Hareketinin Zamana Bağlı Cevabı
3.1.2.Zorlanmış Titreşim Analizi
- Zorlanmış titreşim analizi serbest titreşim analizinden farklı olarak hareket denkleminin sağ tarafının yani sisteme dışarıdan verilen kuvvetlerin var olduğu durumlarda geçerlidir.
- Bu analizi de serbest titreşim analizinde olduğu gibi sönümlü ve sönümsüz olarak iki aşamada incelenir.
- Sönümsüz zorlanmış titreşim analizine en temel uygulama basit harmonik hareket sayılabilir.
- Denklem çözülmek istenirse :
Eğer ki dinamik sistemde sistemin doğal frekansı sisteme etkiyen yükün doğal frekansı ile çakışır ise dinamik güçlendirme faktörü sonsuza gider ve bu durum sönümsüz sistemlerde rezonans olarak adlandırılır. Şekil 9 da sistemin sönümsüz olması durumundaki rezonans olayı görülmektedir.
Şekil9:Sönümsüz Sistemde Rezonans Durumu
Sisteme sönüm elemanı eklenirse,
Sistemde sönüm olur ise titreşen sistemin sönüm etkisinden dolayı bir önceki hali kaybolacaktır, yani sönümsüz sistemlerde olan başlangıç koşul çözümü olmayacaktır. Sistemin cevabı:
- Sönümlü sistemlerin dinamik karakterini doğal frekans, yük frekansı ve faz açısı belirler. Bu durumda sisteme etkiyen yük frekansı sistemin doğal frekansından çok büyük olursa dinamik güçlendirme faktörü bire çok yakın olur yani sistem statik çözümde elde edilen cevabı verir.
- Sisteme etkiyen frekans doğal frekanstan çok büyük olursa dinamik güçlendirme faktörü sıfıra yaklaşır, bu da yükün değişim frekansının sistemin cevabını bekleyecek zaman olmadan değişmesi anlamına gelir. Bu da hareket cevabının çok düşük olması anlamına gelir.
- Sistemin doğal frekansı ile yük frekansı eşit olursa dinamik güçlendirme faktörü ½*e değerini alır. Bu anda faz açısı da 270 derece olur. Şekil 10’da zorlanmış sönümlü titreşim durumu için sönüm oranına ve yükün frekansına bağlı olarak yükseltme faktörü ve faz açısının grafiği gösterilmektedir.
Şekil 10 :Sönümlü Titreşim Hareketinde yükselme faktörü ve faz açısı
KAYNAKÇA
https://www.bias.com.tr/imgup/Bias_Yorulma_Egitimi_Teori.pdf
http://web.itu.edu.tr/temizv/Sunular/Yorulma.pdf
Magna Powertrain, (2006). Dynamic Analysis and Fatique Life Prediction of Vehicle Components, Japanese FEMFAT User Meeting.
Bishop, N. (1999). Vibration Fatigue Analysis in the Finite Element Environment, An invited paper presented to the 16th Encuentro Del Grupo Espanol de Fractura,Torremolinos, SPAIN, 1999
Ahmet Uğur PEKEL
Otomotiv Mühendisi
19.09.2018






















